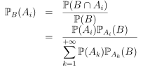
Concept établi par le mathématicien britannique Thomas Bayes, le réseau Bayésien est une théorie reliant les probabilités via des nœuds en relation avec leurs valeurs parentes.

A partir de table de probabilités, les représentations résultantes sont des graphiques probabilistes exprimant la certitude ou l’incertitude d’une inférence.

